一項發表在頂級美國臨床營養學雜志上的新研究得出結論,磷蝦油可以改善40至65歲患有輕度至中度膝關節骨性關節炎的成(chéng)年人的膝蓋疼痛,僵硬和身體機能(néng)。

奧斯陸,2022 年 6 月 27 日:一項由英聯邦科學與工業研究組織(CSIRO)與澳大利亞國家科學局執行,Swiss H&H研究贊助,在三個臨床試驗地點的新研究,調查了磷蝦油對患有輕度至中度膝關節骨關節炎(OA)的成(chéng)年人的影響。
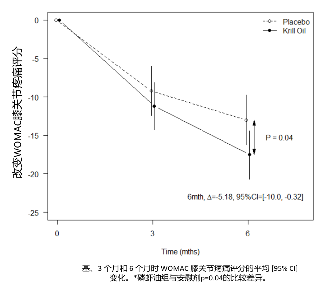
這項爲期六個月,嚴格設計的臨床試驗得出結論,高強度深海磷蝦油(Superba BOOST™ 磷蝦油磷脂)可以安全食用,并改善了輕度至中度膝關節骨關節炎成(chéng)人的膝蓋疼痛,僵硬和身體功能(néng)。

磷蝦油不僅顯著減輕了膝蓋疼痛,而且還改善了膝蓋的僵硬和身體機能(néng)。研究中另一個有趣的發現是,在研究開始時炎症水平最高的受試者是疼痛改善最大的獲益者。對于患有膝關節骨關節炎的人來說,有一種沒有副作用的替代療法。

參與這項研究的235名健康男性和女性年齡在40至65歲之間,他們日常飲食中攝入少量的長鏈omega-3脂肪酸,也沒有服用魚油補充劑,并且都(dōu)接受了膝關節骨關節炎的臨床診斷。 該研究在2018年至2019年間進行了六個月,參與者被(bèi)随機分爲兩組:一組安慰劑組和一組試驗組。試驗組需要每天接受4克磷蝦油,提供880毫克長鏈Omega-3脂肪酸和450微克蝦青素。 研究人員會在試驗初始,三個月和六個月時堆參與者進行評估。
該研究表明,與安慰劑組相比,磷蝦油組的膝關節疼痛在六個月内有所改善。此外,與安慰劑相比,磷蝦油組的膝關節僵硬和身體功能(néng)有更大的改善。膝關節結果使用西安大略和麥克馬斯特大學關節炎指數(WOMAC)數字量表進行評估,這是評估髋關節和膝關節骨關節炎的黃金标準方法。

此外,磷蝦油組的Omega-3指數水平從初始的6.0%,三個月後上升到8.9%,六個月後上升到9.0%。
膝關節疼痛是骨關節炎的常見類型,研究表明,在 40歲及以上的個體中,膝關節骨關節炎的全球患病率爲30%。非手術手段緩解這種疼痛通常使用非甾體抗炎藥 (NSAIDs)。由于這些藥物會帶來不良反應,研究人員正在尋求有效的替代療法。先前的研究和臨床試驗表明,來自海洋來源的Omega-3多不飽和脂肪酸可能(néng)是緩解關節疼痛的替代方案之一。
這項研究發表在《美國臨床營養學雜志》,标題“磷蝦油改善輕度至中度膝關節骨性關節炎患者的骨關節炎膝關節疼痛: 一項爲期 6 個月的多中心,随機雙盲安慰劑對照試驗” ,由Welma Stonehouse,Bianca Benassi-Evans,Jana Bednarz,Andrew Vincent,Stephen Hall和Catherine L. Hill撰寫。